理论物理杨荣佳教授研究团队在暴胀宇宙学研究领域取得进展。相关工作“Reconstructing square-law k-inflation from Planck data”发表在知名国际期刊《Physics of the Dark Universe》。研究生刘明为第一作者,杨荣佳教授为通讯作者。
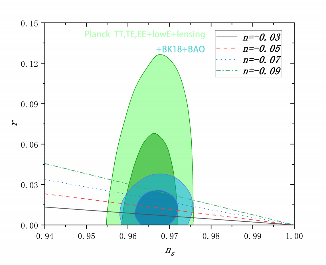
暴胀理论是解决大爆炸宇宙学疑难问题的最简洁的理论,然而暴胀场的本质是什么仍然是宇宙学最大的挑战之一。K-inflation模型,以具有非正则动能的k-essence场为暴胀场,近些年来颇受关注。本研究构造出一种平方律k-inflation模型,利用Hamilton-Jacobi形式,得到诸如标量功率谱、张标比、标量谱指数等重要可观测量的表达式,并运用Planck卫星观测数据对模型的参数进行了限制,绘制出张标比和势能演化图。研究表明:这种k-inflation模型能够和观测数据很好地吻合,为k-inflation模型的实证研究开辟了新途径,同时也为未来更高精度的宇宙学观测提供了理论支持。

张标比与标量谱指数的关系
上述工作得到国家自然科学基金委重点项目经费的资助。
论文链接:https://doi.org/10.1016/j.dark.2025.102039